Calculations

Mean Absolute Value

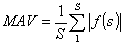
The mean absolute value (MAV) is calculated using a moving window. It is calculated for each window of data according to the equation:

 

MAV - Mean Absolute Value

S - Window Length (Points)

f(s) - Data within the Window

 

According to the equation, the mean absolute value calculation consists of two steps:

1.     Calculate the absolute value of all of the values in the window

2.     Determine the mean of the resultant values

In the script, this calculation is performed by iterating through the data with windows, and using, sequentially, the built in functions .abs() and .mean() on each window.

More:

Parameters

Validation

Output