Calculations

Moving Average

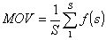
The moving average (MOV) is calculated using a moving window. The mean is calculated for each window of data according to the equation:

 

 

MOV - Moving Average

S - Window Length (Points)

f(s) - Data within the Window

 

The In the script, this calculation is performed by iterating through the data with windows and using the built in function .mean() on each window.

More:

Parameters

Validation

Output